연구노트
홈
태그
방명록
Research/강화학습
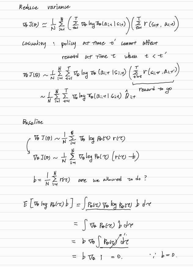
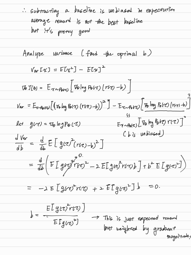
강화학습 - Policy Gradient
Greeneffect
2023. 1. 18. 13:49
공유하기
게시글 관리
연구노트
저작자표시
(새창열림)
'
Research
>
강화학습
' 카테고리의 다른 글
Actor-Critic 알고리즘
(0)
2023.01.19
티스토리툴바