연구노트
홈
태그
방명록
Study/편미분방정식
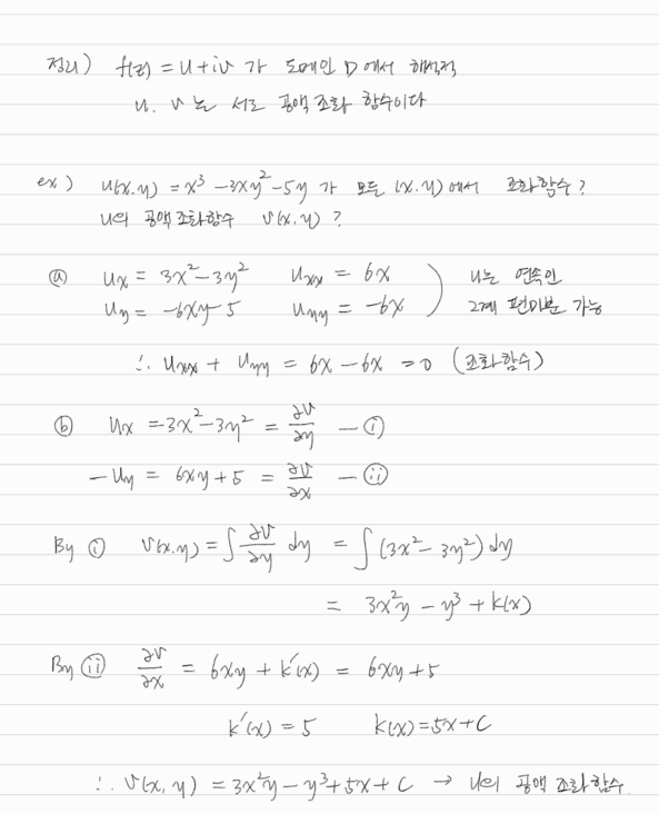
Cauchy-Riemann 방정식
Greeneffect
2023. 2. 6. 04:16
공유하기
게시글 관리
연구노트
저작자표시
(새창열림)
'
Study
>
편미분방정식
' 카테고리의 다른 글
복소함수의 미분
(0)
2023.02.06
1차 파동방정식
(0)
2023.01.19
Fourier 급수
(0)
2023.01.19
티스토리툴바