연구노트
홈
태그
방명록
Study/선형시스템제어
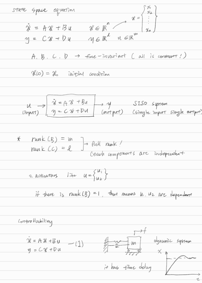
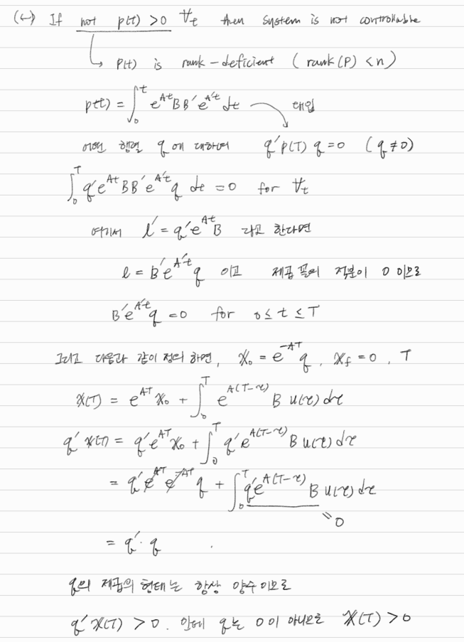
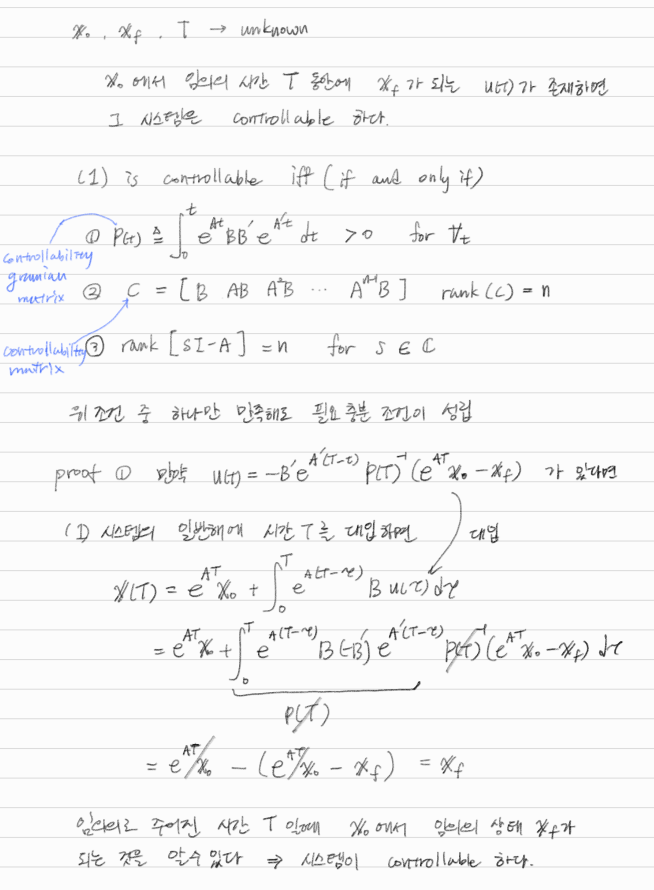
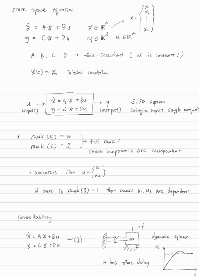
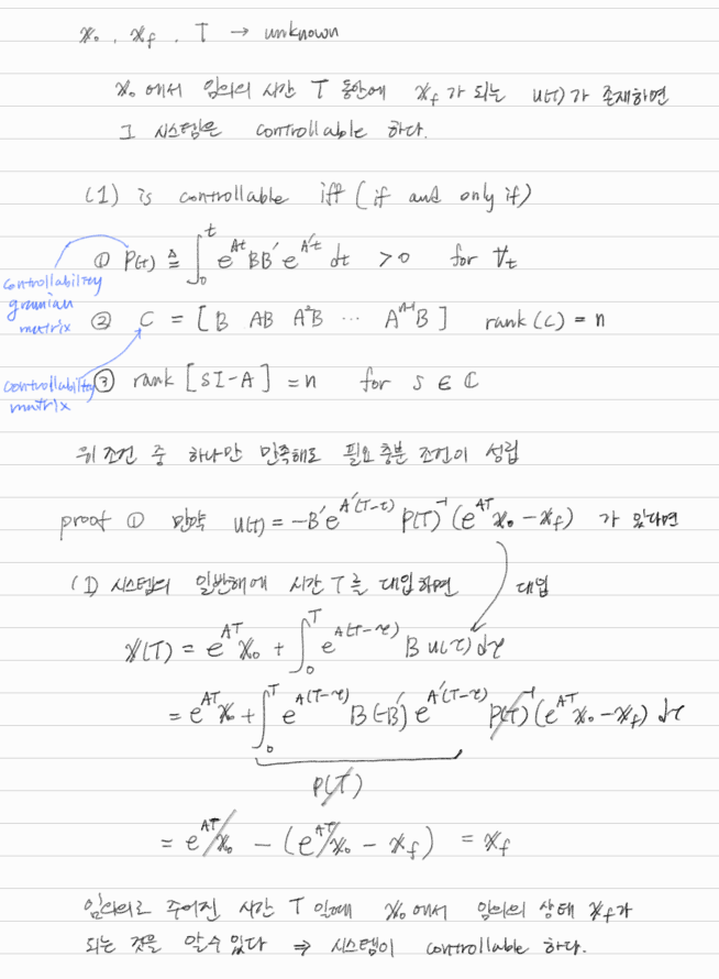
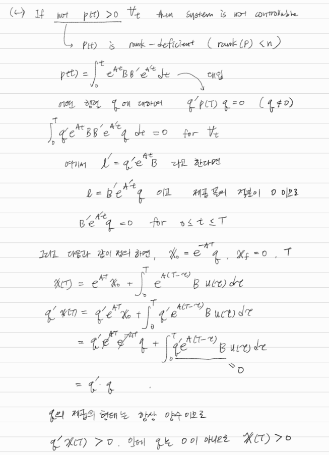
Controllability
Greeneffect
2023. 1. 20. 23:16
공유하기
게시글 관리
연구노트
저작자표시
(새창열림)
'
Study
>
선형시스템제어
' 카테고리의 다른 글
Transient Response
(0)
2023.02.06
Transfer Function
(0)
2023.02.06
티스토리툴바