연구노트
홈
태그
방명록
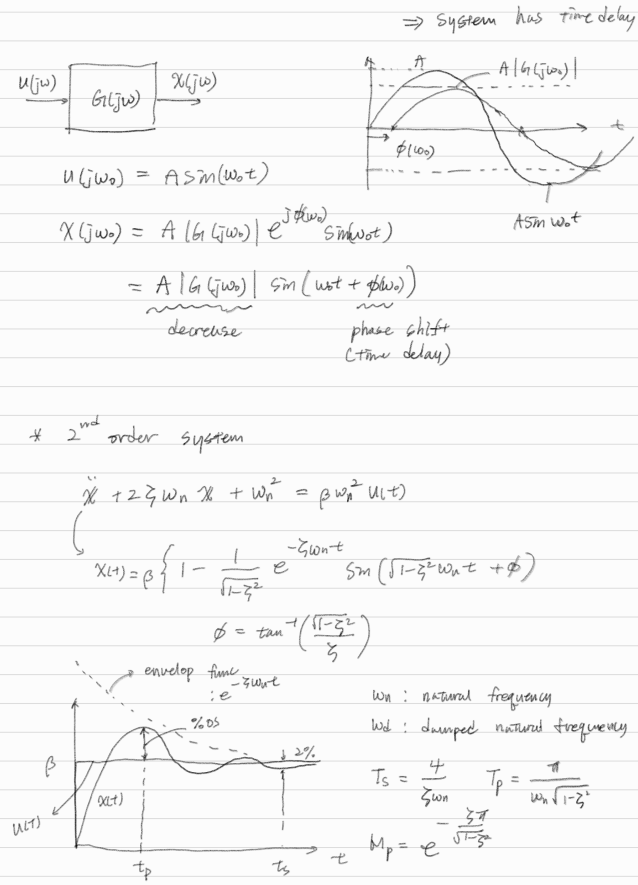
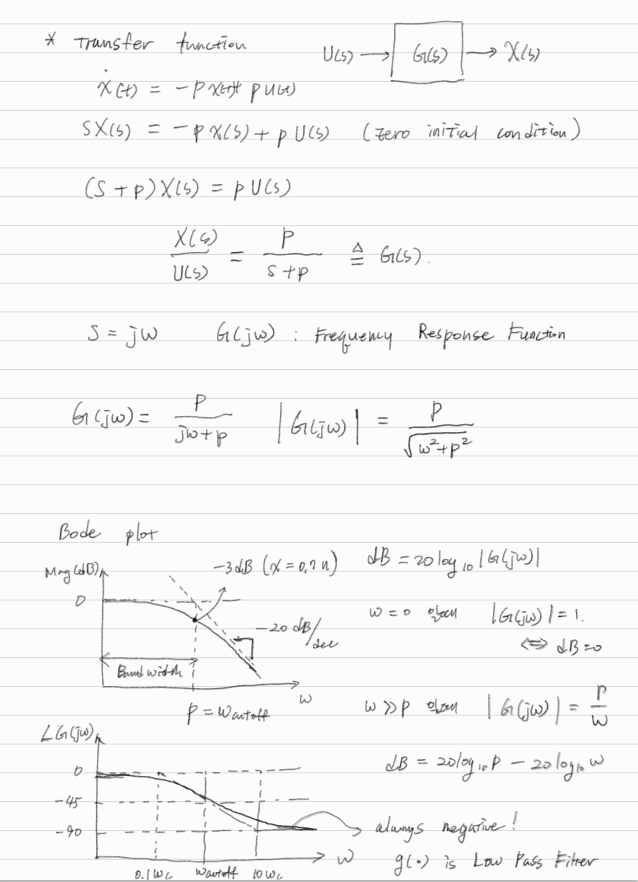
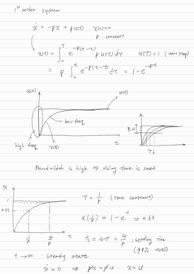
Study/선형시스템제어
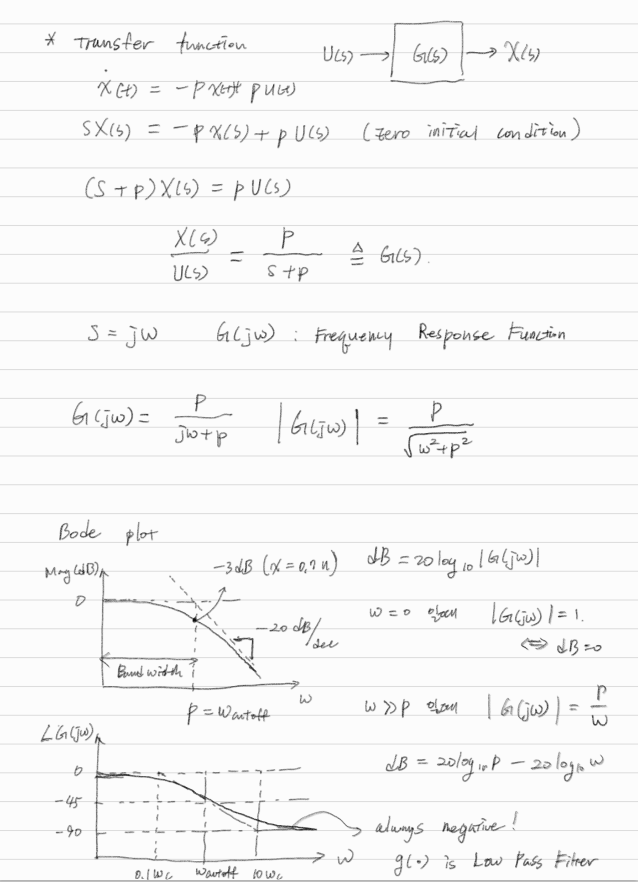
Transient Response
Greeneffect
2023. 2. 6. 04:28
공유하기
게시글 관리
연구노트
저작자표시
(새창열림)
'
Study
>
선형시스템제어
' 카테고리의 다른 글
Transfer Function
(0)
2023.02.06
Controllability
(0)
2023.01.20
티스토리툴바