1. 실험 목적
베르누이 방정식(Bernoulli equation)은 유속 및 유량의 측정, 관로 유동의 해석 등 유체역학과 관련된 대부분의 문제를 해결하는 데 출발점이 되는 기본 방정식이다. 유체의 유동은 난잡하여 해석이 쉽지 않지만 유체의 공학적인 문제들은 대부분 연속방정식(Continuity equation), 베르누이 방정식, 그리고 충격량-운동량의 원리(Momentum equation)를 사용하여 해석 할 수 있다. 이번 실험에서는 두가지가 있는데 베르누이 실험과 관로마찰을 알아보는 실험으로서 유체내의 속도와 압력의 관계를 알아보도록 한다.
2. 실험 이론
1. 유체의 개념
흔히 유체라고 하면 물, 기름과 같이 흘러내리는 성질을 가진다. 이것은 유체의 가장 큰 특징인데, 아무리 작은 전단응력을 받아도 연속적으로 변형되는 물질이다. 그리고 그러한 특성 때문에 유체가 정지상태에서는 전단응력을 지탱할 수 없고 오로지 수직응력, 즉 압력만이 작용한다고 할 수 있다.
이러한 특징들로 유체를 연속체로서 정의하는데 사실 이 개념은 유체의 분자적 구조를 생각한다면, 연속체로 받아드리기 쉽지 않다. 연속체로서 간주함을 기본으로 유체를 공학적 도구로서 해석할 수 있게 된다. 유체를 현미경으로 확대해 보면 분자들9이 연속적으로 분포되어 있지 않고 사이사이에 빈공간이 많이 보인다. 하지만 어느 일정한 크기의 유체의 부분을 본다면 그 분자들과 빈공간들의 개념의 모호해져서 물리적 성질이 비슷한 하나의 Particle로 간주 할 수 있다.
앞서 실험의 목적에서 말한 듯이 유체란 운동이 난잡하고 해석하기가 쉽지 않고, 또 대부분의 학생들이 눈에 보이는 운동을 표현하는 시스템 해석에 익숙해져 있기 때문에 유체의 시간에 대한 변화율을 해석하기위해서 다른 연결다리가 필요한 것을 알 수 있다.
유체를 해석하기 위해 우리는 관심있는 부분을 검사체적(Control Volume)으로 정해서 표현하는데 이 검사체적과 우리가 고전역학에서 사용하던 시스템적 해석에 연결다리를 ‘Reynolds의 전달정리’(Transport Theorem) 이라고 한다.
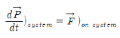
한 시스템 내의 임의의 종량적 상태량의 변화율을 수식적으로 나타내면

이렇게 된다. 이식을 통해서 연속방정식과 운동량 방정식, 베르누이 방정식 등 유체역학에서 가장 많이 쓰이는 기본 방정식들을 추출해 낼 수 있다.

연속 방정식을 나타내면, 우선 질량 보존의 법칙을 적용해야한다. 질량 보존의 법칙이란 시간이 아무리 지나도 그 질량은 일정하게 보존되는 원리를 말하는데 이러한 원리를 레이놀즈의 전달정리에 적용한다면 우리가 알고자하는 상태량 N = m(질량) 이 되고 강성적 상태량 eta = m/m = 1 이 된다. 이 값을 전달정리에 대입하면

시간에 대한 질량 변화량이 0이 되는 것을 적용하면

이 식이 유체역학에서 질량 보존의 법칙을 표현하는 연속 방정식(Continuity equation)이다. 정상유동(steady flow) 상태에서 연속 방정식은 질량유량(Mass Flux)을 나타내고 밀도가 변하지 않는 비압축성 유체라 가정하면 체적유량(Volume Flux)으로 나타낼 수 있다.

질량유량의 단위는 [kg/s]이고 체적유량의 단위는 [m^3/s] 이다.
3. 운동량 방정식
고전역학에서 사용된 질량 보존의 법칙을 레이놀즈 전달 방정식에 사용해서 연속 방정식을 도출했는데, 이번엔 운동량 보존의 법칙을 적용해보자. 절차는 질량 보존법칙을 검사체적에 적용하여 수학적 공식을 유도하는 경우와 유사하지만 주의해야할 점은 검사체적의 좌표계가 관성 좌표계라는 것으로, 절대 좌표계 XYZ에 대해서 관성 좌표계 xyz는 정지해 있든지 아니면 일정한 속도로 움직인다. 먼저 관성 좌표계에 대하여 상대적으로 운동하고 있는 시스템에 대한 뉴턴의 운동 제2법칙은 다음과 같다.

뉴톤의 제2법칙을 적용하기 위해 종량적 상태량 N에 운동량 P라 하고 eta값은 P//m이므로 V로 놓고 이것을 레이놀즈 전달정리에 대입하면

이 시스템에 정의된 운동량의 시간변화율은 시스템에 작용하는 힘과 같으므로

그리고 미소 시간에 대한 시간 변화율에서 t=t0 일 때 검사체적과 시스템이 일치하므로

이 된다. 결론적으로 레이놀즈 전달정리를 이용해 다음과 같이 가속되지 않은 검사체적에 대한 뉴턴의 운동 제2법칙의 검사체적에 관한 공식을 얻을 수 있다.

이 식은 검사체적에 작용하는 모든 힘(표면력과 체적력)의 합은 검사체적(체적적분) 내부의 운동량 변화율과 검사표면을 통하여 유출입하는 유효 운동량 플러스의 변화율과 동일하다는 것을 의미한다.
비행기를 공부한 사람이라면 누구나 한번쯤 들어보는 방정식이 바로 베르누이의 방정식이다. 예를 들면, 베르누이 방정식으로 인해 비행기가 하늘을 날 수 있게 해주는 힘, 양력의 발생원리를 수식적으로 표현해준다. 물론 베르누이 방정식을 적용하기 위해선 몇 가지 제한이 필요하다. 유체의 유동이 정상유동(steady flow)이여야 하고 비압축성(imcompressible, rho=const)이여야 한다. 그리고 점성에 의한 마찰이 없는 비점성 유동(Invicid)이여야 하고 하나의 유선을 따르는 운동이여야 한다. 베르누이 방정식은 오일러 방정식(Euler equation)을 적분한 형태인데 그럼 오일러 방정식에 대해 알아보자.

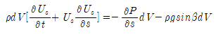
오일러 방정식은 유선의 곡률과 속도, 그리고 압력 사이의 종속성을 보여주는 유선방향과 수직한 방향의 특별한 형태로 나온다. 먼저 유선의 방향(S-direction)으로의 오일러 방정식을 얻기 위해 점성력이 작용하지 않는 유선의 방향으로 뉴턴의 제2법칙을 적용하면

우항은 유선방향으로 속도를 시간에 대해 미분한 형태이고 좌항은 아래 그림에서 유선방향으로 작용하는
힘의 합력이다. 그리고 양변을 rho dV 로 약분하면



이 식을 정리하여 적분하면 베르누이 방정식을 얻을 수 있다. 만약 한 유체입자가 유선을 따라 거리 ds 만큼 이동한다면

이 되고, 위의 오일러 방정식에 ds를 곱하면 적분하면

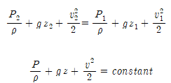
이 식을 적분할 때, 유체가 비압축성이여서 rho가 일정하다면

다시 식을 정리하면

위 식을 베르누이 방정식이라고 하는데 <그림. >와 같이 1지점에서 2지점으로 갈 때, 일정 조건하에 단위 질량당 압력에너지, 위치에너지, 그리고 운동에너지의 합은 일정하다는 것을 수식적으로 표현한 것이다.

위 식들은 힘(유선에 작용하는 합력)을 거리(ds만큼)에 대해 적분한 형태이기 때문에 일의 단위, 즉 에너지를 나타낸다. 하지만 이 식은 유선의 유동에 압력과 중력 이외에 다른 변수들은 고려하지 않았기 때문에 현실에 적용하기에는 많이 부족하다. 그래서 이 식에서 고려되지 않은 마찰에 의한 점성효과와 보존장이 아닐 때 생기는 힘들을 고려하여 확장해보자.
보존장이 아닌 힘들을 f_nc라 하고, 마찰에 의한 점성 효과를 f_f라 하고 베르누이 방정식에 적용하면

위 식의 첫 번째 항은 유체 내에 설치된 펌프나 터빈 등의 장치 등이 유체에 해준 유용한 일로 해석될 수 있으며, 단위 질량당의 축일로 표현할 수 있다. 펌프인 경우 일을 받은 경우이기 때문에 양의 축일이 되고 터빈 같은 경우 일을 해준 경우이기 때문에 음의 축일에 해당한다.
두 번째 항 같은 경우는 마찰에 의한 점성을 극복하기 위해 행해진 일로 해석되며 항상 손실의 의미를 갖는다. 따라서 유동장의 한 유선을 따라 흐르는 두 점의 위치 사이에 일과 마찰이 있는 시스템에 적용할 수 있는 확장된 베르누이 방정식을 다음과 같이 표현할 수 있다.

또는

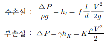
터빈과 펌프에 대한 힘을 배제한다면 마찰에 의한 손실되는 에너지는 hf가 된다.
손실되는 총 수두 h_f는 단면적이 일정한 파이프 내의 완전 발달된 유동에서 마찰효과에 기인한 주손실 h_l과 입구, 관 부속품, 면적의 변화 등에 의해 야기되는 부손실 h_lm 의 합으로 이루어진다.

5. 베르누이 유속 측정 실험
유체의 흐름의 총압과 정압의 차이를 측정하고 그것에서 유속을 구하는 장치이다. 1728년 프랑스의 H.피토가 발명하였다. <그림.5> 와 같이 끝부분의 정면과 측면에 구멍을 뚫은 관을 말한다. 이것을 유체의 흐름에 따라 놓으면 정면에 뚫은 구멍에는 유체의 정압과 동압이 더해진 총압이, 측면 구멍에는 정압이 걸리므로 양쪽의 압력차를 측정함으로써 베르누이의 정리에 따라 흐름의 속도가 구해진다.


같은 높이에 있으므로 위치에 의한 변화량을 제거하고 정체압 P_1 의 정체속도 v_1=0 이라고 하면

위 식을 v_2 로 정리하면

이렇게 압력차로써 유속을 구할 수 있다.
3. 실험 결과 및 분석
① 관로마찰 실험
1. 속도 측정
먼저 유관내의 정상유동을 만들고 관을 지나는 유체의 속도를 구하기 위해서 평균 유량을 측정하고 수두를 측정한 지점의 단면적을 계산하여서 연속 방정식에 의해 정상유동일 때 단면적과 속도의 곱은 체적유량으로 일정하므로 수식적으로 각 지점의 속도값을 구했다.
그래프는 예상한 것과 비슷하게 그려졌는데 처음 수압을 만드는 수조에서 1번관으로 가는데도 상당한 마찰 또는, 관의 형상에 의해 많은 양의 에너지가 손실된 것을 확인할 수 있다. 그리고 에너지 구배선과 수력 구배선의 차이가 바로 속도에 의한 동압수두를 나타내는 것인데, 이 값도 체적유량이 일정할 때 유속은 단면적에 반비례하므로 그와 유사한 그래프가 그려졌다고 할 수 있다.

| 번호 | 단면적 [ mm^2] | 평균유량 [ m^3/s] | 평균유속 [ m/s] |
| 1 | 288.00 | 1000ml /4.5s = 0.22E(-3) |
0.7716 |
| 2 | 270.54 | 0.8214 | |
| 3 | 253.09 | 0.8780 | |
| 4 | 235.63 | 0.9431 | |
| 5 | 218.18 | 1.0185 | |
| 6 | 200.72 | 1.1071 | |
| 7 | 183.27 | 1.2125 | |
| 8 | 165.81 | 1.3402 | |
| 9 | 148.36 | 1.4978 | |
| 10 | 130.90 | 1.6975 | |
| 11 | 113.45 | 1.9587 | |
| 12 | 96.00 | 2.3148 | |
| 13 | 113.45 | 1.9587 | |
| 14 | 130.90 | 1.6975 | |
| 15 | 148.36 | 1.4978 | |
| 16 | 165.81 | 1.3402 | |
| 17 | 183.27 | 1.2125 | |
| 18 | 200.73 | 1.1071 | |
| 19 | 218.18 | 1.0185 | |
| 20 | 235.63 | 0.9431 | |
| 21 | 253.09 | 0.8780 | |
| 22 | 270.54 | 0.8214 | |
| 23 | 288 | 0.7716 | |
| 24 | 305.45 | 0.7275 |
2. Energy Grade Line

EGL( Energy Grade Line )은 정압+위치+동압 수두, 즉 총 수두를 말함 (파란색)
HGL( Hydraulic Grade Line )은 정압+위치 수두를 말함 (초록색)
※ 손실된 에너지 계산

3. 무차원 수에 대한 해석
정압수두를 동압수두로 나누는 무차원 계수는 위에 이론에서 설명한 관로마찰의 부손실에서 동압수두에 있는 부차적 손실계수이다. 이 부차적 손실은 단면적이 동일할 때 관의 마찰에 의해 생기는 주손실에 더해지는 부가적인 손실인데 이것은 벨브나 단면적의 변화, 입구와 출구 등에서 생기는 마찰 요소이다. 따라서 이 무차원 계수에 의한 EGL과 HGL을 그린다면

이와 같이 나타낼 수 있다. 이는 원래 있던 EGL, HGL 값을 동압수두 V^2/2g로 나누어서 그린 그래프인데, 이 의미를 잘 생각해보면 정압수두에 동압수두를 나눈 무차원의 값은 관의 유동에서 부차적 손실을 의미하므로 이 그래프의 값은 실험에서 변수로 만든 단면적에 의한 부차적 손실을 수치적으로 나타낸 것이라 할 수 있다. 그래프가 감소하는 것은 속도가 빨라지는 것을 의미하므로 연속방정식에 의해 단면적이 감소하는 것을 말하고 반대로 그래프가 증가하는 것은 속도가 느려지는 것을 의미하므로 단면적이 증가하는 것을 의미한다.

② 베르누이 실험
1. 측정값
◎ 피토관

| 각도 | 높이[mmH2O] | 압력[Pa] | 유속[m/s] |
| 33.5 | 0 | 0.000 | 0 |
| 33 | 2.5 | 21.337 | 5.890153 |
| 30 | 23 | 196.298 | 17.86572 |
| 25 | 31 | 264.576 | 20.74137 |
| 20 | 35.5 | 302.982 | 22.1958 |
| 15 | 38.5 | 328.586 | 23.11463 |
| 10 | 40 | 341.388 | 23.56061 |
| 5 | 40 | 341.388 | 23.56061 |
| 0 | 40 | 341.388 | 23.56061 |
| -5 | 40 | 341.388 | 23.56061 |
| -10 | 40 | 341.388 | 23.56061 |
| -15 | 39 | 332.853 | 23.26424 |
| -20 | 36.5 | 311.517 | 22.50624 |
| -25 | 34.5 | 294.447 | 21.88095 |
| -30 | 28.5 | 243.239 | 19.88745 |
| -35 | 16.5 | 140.823 | 15.13208 |
| -37 | 2 | 17.069 | 5.268313 |
| -37.5 | 0 | 0.000 | 0 |
※ 마노미터 액체의 비중 : 0.87

피토관 실험은 적은 각도에서 마노미터의 0이 되는 지점에 도달하는 것을 볼 수 있었는데, 이것은 피토관의 형상에 기인한 것으로 앞으로 튀어나온 부분이 다른 것에 비해 길었기 때문에 각도에 의한 변위의 변화율이 더 커서 이런 결과를 나타낸 것 같다. 압력차가 0이 되어서 속도의 값이 0으로 추측할 수 있는 각도는 +33.5° , -37.5°였다.

◎ 키엘 프로브 (Kiel probe)
| 각도 | 높이[mmH20] | 압력[Pa] | 유속[m/s] |
| 71 | 0 | 0 | 0 |
| 70 | 6.5 | 55.47555 | 9.497586 |
| 65 | 11 | 93.8817 | 12.35529 |
| 60 | 24.5 | 209.1002 | 18.4391 |
| 55 | 39 | 332.8533 | 23.26424 |
| 50 | 35.5 | 302.9819 | 22.1958 |
| 45 | 35.5 | 302.9819 | 22.1958 |
| 40 | 39.5 | 337.1207 | 23.4129 |
| 35 | 39.5 | 337.1207 | 23.4129 |
| 30 | 39.5 | 337.1207 | 23.4129 |
| 25 | 39.5 | 337.1207 | 23.4129 |
| 20 | 39.5 | 337.1207 | 23.4129 |
| 15 | 39.5 | 337.1207 | 23.4129 |
| 10 | 39.5 | 337.1207 | 23.4129 |
| 5 | 39.5 | 337.1207 | 23.4129 |
| 0 | 40 | 341.388 | 23.56061 |
| -5 | 39.5 | 337.1207 | 23.4129 |
| -10 | 39.5 | 337.1207 | 23.4129 |
| -15 | 39.5 | 337.1207 | 23.4129 |
| -20 | 39.5 | 337.1207 | 23.4129 |
| -25 | 39.5 | 337.1207 | 23.4129 |
| -30 | 39.5 | 337.1207 | 23.4129 |
| -35 | 39.5 | 337.1207 | 23.4129 |
| -40 | 40 | 341.388 | 23.56061 |
| -45 | 40 | 341.388 | 23.56061 |
| -50 | 37.5 | 320.0513 | 22.81246 |
| -55 | 36 | 307.2492 | 22.35156 |
| -60 | 35.5 | 302.9819 | 22.1958 |
| -65 | 26 | 221.9022 | 18.99517 |
| -70 | 0 | 0 | 0 |
키엘 프로브는 피토관과는 다르게 앞의 튀어 나온 부분의 길이가 짧아서 더 정밀한 속도 측정에 사용된다. 그러한 이유로 이번 실험에서도 +55°에서 -45°까지는 대게 비슷한 압력차의 값, 즉 비슷한 속도가 측정 되었고 압력차가 0이 되는 각도는 +71°, -70° 로 측정되었다.
※ 각도에 따른 유속 그래프

4. 결과 및 느낀점
이번 실험을 통해서 우리는 유속을 측정하는 방법과 베르누이의 방정식에 대해서 알아보았다. 베르누이의 정리는 어떤 유체가 비압축성이고, 정상유동과 비점성유동을 할 때, 한 유선에서 작용하는 운동에 대해서 단위 질량 당 압력 에너지와 위치 에너지, 그리고 운동 에너지의 합이 일정하다는 것을 여러 식과 이론들을 이용해서 증명하였다. 하지만 이것을 실제 현상에 적용시키기 위해서는 몇 가지 제약이 따랐는데 그중 하나가 바로 관로에서 발생하는 마찰이었다. 현존하는 모든 유체는 사실 점성운동을 하기 때문에 베르누이 방정식을 관의 유동에 적용하기 위해서는 점성유동에 대한 마찰을 고려해줘야 했고, 따라서 확장된 베르누이 방정식이 나오게 되었다.

첫 번째 실험이 바로 관에서 이동하는 유체의 흐름에서 발생하는 관로마찰 측정하는 것으로, 이 실험을 통해서 어떤 유체 내에서 발생하는 속도와 압력의 관계, 그리고 에너지의 손실 등의 측정하기 힘든 유체의 물리량을 측정할 수 있었다. 실험은 수두의 압력차에 의해서 유체의 유동을 만들고, 유체 유동을 시작하고 나서 시간이 좀 경과한 뒤 정상유동을 만든 다음에 시작하였다. 관로마찰의 측정은 유체가 관을 통과하기 전에 총 에너지와 관로 유동을 하고 난 후의 총 에너지의 차를 통해서 마찰에 의한 에너지 손실량을 수두의 높이 차로 측정하였다. 평균 유량은 수도꼭지로 나오는 물의 양을 정해진 관에 담는데 걸리는 시간을 측정하였는데, 이 부분에서 상당한 오차가 나왔으리라 생각이 든다. 그렇게 측정한 관내에 평균 유량과 연속방정식을 통해서 각 지점마다 다른 단면적에 의해서 나타나는 속도차이를 계산하여서 동압수두를 유도했고 총 에너지를 나타내는 그래프 EGL(에너지 구배선)을 그릴 수 있었다. 이 실험을 통해서 새삼 알 수 있었던 흔히 우리 일상에서 수자원을 이용함에 있어 만약 상수원에서 우리 집까지 물을 끌어다 오는 경우를 생각해 보면 얼마나 많은 마찰이 있는가 하고 또 그 마찰을 이기고 물이 우리 집 화장실까지 오게 하기 위해 얼마나 높은 출력의 펌프를 써야하는가에 대해 한번 더 생각해보게 되었다. 수자원뿐만 아니라 기름을 운반하는 송유관, 공원에 설치되어 있는 수도관, 자동차 내에 있는 여러 오일기관 등등, 정말 많은 곳에 이 유체의 해석이 필요하다는 것도 다시 한번 알게 되었다.

그리고 두 번째 실험이였던 유속을 측정하는 피토관 및 키엘프로브 실험은 유체에 관련된 실험이 얼마나 민감한 실험이었는지 한번 더 느낄 수 있는 시간이었다. 바람을 발생하는 장치의 앞에만 있어도 유체의 흐름이 바뀌어 결과 값에 영향을 줄 수 있다는 조교님의 말에 세삼 주의를 기울이며 실험을 진행하였다. 이 실험은 피토관과 키엘프로브를 각각 풍동기 앞에 두고 각도를 변화하면서 마노미터에 튜브로 연결되어 압력에 어떤 영향을 미치는지 알아봤는데, 각도가 변하면서 피토관, 키엘프로브의 면적에 수직한 속도 성분들의 크기가 각도가 커질수록 줄어든다. 각도가 커지면서 속도의 크기가 줄어드는데 앞의 이론에서 설명했듯이, 정체압은 초기압력에 운동에너지를 더한 값이기 때문에 속도가 줄어든 만큼 압력차가 줄어드는 것을 확인할 수 있었다. 다만 너무 민감한 실험이었기 때문에 실험실의 여러 가지 상황들과 여러 사람들로 인한 불안정한 온도 등의 영향으로 이 실험에서는 참값은 모르지만 오차가 분명히 컸을 거라고 생각이 든다. 앞으로 이와같은 풍동실험은 좀 더 세심한 주의를 가지고 실험에 임해야겠다고 생각했다.
지금까지 해온 실험과는 다르게 이번 실험에선 눈으로 수치들을 읽고 작성하는 실험들이어서 오차들이 다른 실험에 비해 컸을 것이다. 사실 이번 실험을 하면서 유체의 특성을 측정하는 것이 매우 어렵다는 것도 알게 되었다. 하지만 이런 실험들을 통해서 우리는 유체의 물리량 및 특성에 대해서 알 수 있었고, 또 우리 사회에 많은 분야에서 사용되고 있는 유체에 대해 관로마찰이라던가 유속 측정과 같은 실험들이 얼마나 중요한지에 대해 한번 더 생각해 볼 수 있는 시간들이었다.
'공학실험 > 기초공학실험' 카테고리의 다른 글
| 실험6 - 자이로 동특성 실험 (2) | 2023.02.06 |
|---|---|
| 실험5 - 변형률 측정 실험 (0) | 2023.01.26 |
| 실험3 - 인장강도 측정실험 (0) | 2023.01.20 |
| 실험2 - 회로 및 계측실험 (0) | 2023.01.18 |
| 실험1 - 경도 및 충격시험 (0) | 2023.01.18 |